Przekształć wzór funkcji \(f(x) = (x + 1)^2 - 4\) na postać ogólną i
iloczynową.
Zaczynamy od wyznaczenia postaci ogólnej. W tym celu podnosimy nawias do kwadratu i
upraszczamy wyrażenie:
\[f(x) = (x + 1)^2 - 4 = x^2 + 2x + 1 - 4 =
x^2 + 2x - 3\]
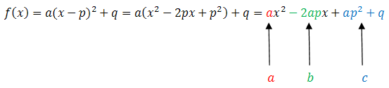
Czyli postać ogólna jest następująca: \[f(x) = x^2 + 2x - 3\] Teraz
wyznaczymy postać iloczynową. Musimy w tym celu wyliczyć miejsca zerowe \(x_1\) i \(x_2\).
Wypiszmy na początku współczynniki liczbowe \(a\), \(b\) i \(c\) wyznaczonej przed chwilą
postaci ogólnej:
\(a = 1\)
\(b = 2\)
\(c = -3\)
Obliczymy
deltę:
\[\Delta = b^2 - 4ac = 2^2 - 4\cdot 1\cdot (-3) = 4 + 12 =
16\]
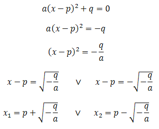
Teraz obliczamy miejsca zerowe \(x_1\) i \(x_2\) korzystając z poznanych wzorów:

Wyliczone wartości podstawiamy do wzoru
na postać iloczynową:

Zatem ostatecznie postać iloczynowa
funkcji kwadratowej jest następująca: