⠀
Jesteś tutaj:
Studia
→
Granica funkcji
→
Ważniejsze granice funkcji
◀ Granica funkcji w punkcie II
Reguła de l'Hospitala ▶
Ważniejsze granice funkcji
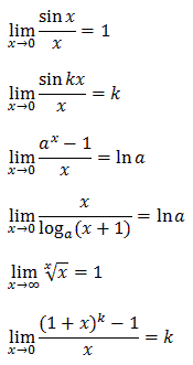
Oto kilka wybranych granic funkcji:
◀ Granica funkcji w punkcie II
Reguła de l'Hospitala ▶