⠀
Jesteś tutaj:
Studia
→
Pochodne
→
Reguły obliczania pochodnych
◀ Wzory pochodnych wybranych funkcji
Pochodna sumy funkcji ▶
Reguły obliczania pochodnych
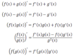
Jeżeli obie funkcje
f
(
x
) i
g
(
x
) są różniczkowalne (tzn. możemy policzyć ich pochodne), to zachodzą następujące wzory:
Dokładniejsze omówienie każdego z tych wzorów (wraz z przykładami) znajduje się w kolejnych podrozdziałach.
◀ Wzory pochodnych wybranych funkcji
Pochodna sumy funkcji ▶