⠀
Jesteś tutaj:
Studia
→
Pochodne
→
Pochodne prostych funkcji
◀ Pochodna złożenia funkcji
Pochodne funkcji trygonometrycznych ▶
Pochodne prostych funkcji
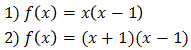
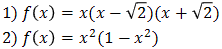
Oblicz pochodną funkcji
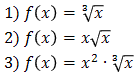
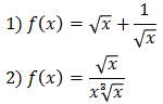
Oblicz pochodną funkcji
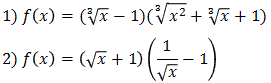
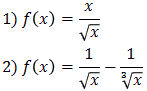
Oblicz pochodną funkcji
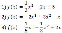
Oblicz pochodną funkcji
Oblicz pochodną funkcji
Oblicz pochodną funkcji
Oblicz pochodną funkcji
Oblicz pochodną funkcji
Oblicz pochodną funkcji
◀ Pochodna złożenia funkcji
Pochodne funkcji trygonometrycznych ▶