⠀
Jesteś tutaj:
Studia
→
Pochodne
→
Pochodna ilorazu funkcji
◀ Pochodna iloczynu funkcji
Pochodna złożenia funkcji ▶
Pochodna ilorazu funkcji
Jeżeli obie funkcje
f
(
x
) i
g
(
x
) są różniczkowalne, to pochodną ilorazu tych funkcji obliczamy według wzoru:
Dane są funkcje
i
. Oblicz pochodną ilorazu
Liczymy pochodną ilorazu według wzoru:
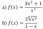
Oblicz pochodną funkcji
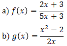
Oblicz pochodną funkcji
◀ Pochodna iloczynu funkcji
Pochodna złożenia funkcji ▶